| データロガー、PCオシロスコープ、ガウスメータ 続々導入 |
USB電圧ロガー EL−USB−3 \8,400
オゾン計に電圧出力がある事を発見したので、自動的にデータを蓄積できるようにしました。
24時間自宅窓の外を測定した結果
自動的にグラフも作成できるので便利です。
やっぱり高濃度 0.1を時々越えていました。
これまで薄々感付いていましたが、起動後1〜2時間位は感度が低いようです。アイドリングするようにしましょう。
1軸ガウスメーター DE−1007 \3,600
安かったので思わず買ってしまいました。
低周波の電磁波の強さを測定できます。
部屋の電気機器に近づけると結構反応あります。断層上はどんな反応なのでしよう。楽しみです。
PCオシロスコープ Picoscope 2104
\10,800
PCが憧れのオシロスコープになります。
コタツの上が最先端の研究所に!
| 花崗岩の圧電効果 2012.2.24 |
花崗岩などに含まれる石英に圧力を加えると電圧が発生するはずです。これを前提に今まで調査してきましたが、PCオシロで実際に確かめてみました。
大鹿村の中央構造線博物館を訪れた際に近くの川原で拾った花崗岩です。
両端に電線を付けたアルミホイル電極を貼ってセロハンテープでぐるぐる巻きました。これは電極を手で触ると電位がポンポン変動するので、周囲と絶縁するためです。
さあ今夜は朝まで叩くぞと気合を入れます。
なかなか反応がありませんでしたが、しばらくしてある方向に叩くと反応がありました。
あら、あっけない。
結晶に方向がある証拠でしょう。そして何より石英の圧電効果が確かめられました。
快挙でしょ。えっ当たり前?
実験の様子はこちら
youtube 花崗岩の圧電効果
発生した電位は±数V、減衰0.2ms位でした。ライターの火花は3kV位あるそうなので、もっと均一に高圧力をかけられれば電位も高くなるでしょうね。ハサミの先端で突っついただけなので良しとしましょう。それにPCオシロは±20Vまでなので限界でもあります。
また以前の実験で、絶縁体中を電位が拡散する様子も確認しています。
youtube ホースの電位拡散実験
これで重要な仮定が証明できました。
1.花崗岩は圧力を受けると電位を発生させる。
2.絶縁体中では電位が拡散する。
つまり、断層に圧力が加わると電位が発生し、その電位は上昇して地上に現れる(可能性がある)と言えます、よね。めでたし、めでたし。
では地下ではどの位のエネルギーが発生するのでしょうか?
平均給与日本一のキーエンスの資料では、ライターの圧電素子程度だと0.45[mJ]のようです。男子なら、だれでも遊んだことのあるビリビリ放電は確かに「針で刺された痛み」ですから。

久しぶりにライターをばらして、圧電素子を取り出してみました。
意外に小さくてびっくりしました。
わずか φ2×5mm です。
仮に地下に10m角のライターの圧電素子と同じ圧電体があり、同様の単位圧力を受けるとします。
体積比は 6.37×10^10 なので
エネルギーは 28.7MJ です。
だいたい1回風呂を沸かすぐらいのエネルギーです。これを小さいと見るか大きいと見るか・・・・、いや十分大きいでしょう!地震予知の前に断層発電が可能になってしまいます。
また、10m/5mm=2000 なので電池の直列接続と同様に
電圧は3kV×2000倍=6000kV。いや強烈。もうどうにでもなれのレベルです。
さあ後は何しましょう。研究を始めてわずか2ヶ月で謎は無くなってしまったような・・・。
これが壁でしょうか? いや地震予知が最終目的でした。
さてどう展開しようかな。
| プラズマボールのセントエルモの火 2012.2.26 |
プラズマボールは電気地質学者必携の実験アイテムです。私は学生時代に秋葉原で見かけて衝動買いしました。おもちゃなので何の規制もありませんがちょっと危険です。
【注意】
・電磁ノイズが発生してテレビのチャンネルが勝手に変わったり、地デジにブロックノイズが出る。ご近所迷惑にならないように。
・火花放電するので可燃物に注意。
・人体に放電すると衝撃を感じたり微小なやけどを負う。
・X線被曝する。(X線は電子が急に減速すると発生するので、当然出ていると思います。)
・オゾンが発生する。

手を近づけるとプラズマが寄ってきて、ガラスと指の間に微小な放電が起きます。
これを「誘電体バリア放電」と呼び、絶縁体を挟んだ放電を指します。
指の臭いを嗅ぐと、スイカのような青臭いオゾンの臭いがします。
手に持った縫い針を近づけると極端に電束密度が高まって青白い「セントエルモの火」が見られます。ひと昔前の超常現象です。
逆に縫い針をガラスに取り付けると、縫い針が放電電極となって上空に放電します。これは分杭峠を訪れた皆さんの状態ですね。クワバラクワバラ。
youtube セントエルモの火
ところでプラズマボールをいじっていて不思議なことを発見したあなた、するどい!
フランクリンと話をしたいものです。だれか通訳の出来るイタコさんを知りませんか?
| 電位計が示すものとは? 2012.4.1 |
今まで電位計で各地を測定してきましたが、電位計が示すものとは何でしょうか?
電位計の仕組みは下図のとおりです。帯電体と電位計の間を「空気コンデンサ」に見立てて、公式から帯電体の電位を計算しているようです。


でも、断層の上の電界はどの方向もだいたい一定でした。電位計は何に依存するのか?それは「電界の強さ」だと考えられます。ここで注意ですが「電界強度」とは違います。電界強度は電磁波の強さの指標で、磁界の強さを指します。ガウスメータの指示値はガウスやテスラですから。
では「電界の強さ」とは具体的に何か?それはずばり「電気力線の密度」です。
電気力線は仮想的なもので実在しませんが、電界の様子を説明するのに便利なものです。お互い交差せず、等電位面を垂直に貫き、等電位面では密度が一定です。ファラデーさん、便利なものをありがとう。
電気力線の密度が高い=電界が強い=静電エネルギーが強く作用する=気体が電離する=放電が起こる=プラズマが発生する=電磁波(光)、イオン、オゾンが発生する
という関係が導かれます。
とくに下図のような針の先では、極端に電気力線の密度が高くなることがわかります。セントエルモの火は、雷雲が近づいた時に避雷針の先でも見られるそうです。避雷針は一生懸命放電して雷雲の静電エネルギーを間接的に消費し、雷雲との電位差を下げていると解釈できます。字義通り「雷を避ける針」なわけですね。

(ちょっと不正確なので、イメージ図です。)
| 地下の電位の拡散メカニズム 2012.4.14 |
地下深くで石英が圧力を受けると電荷が発生するとされていました。
この従来の理論では、発生した電荷によって上層の岩石に静電誘導(または誘電分極)が起こり、連鎖的に電荷が発生して、最終的に放電すると考えられていました。
でも岩石に静電誘導?誘電分極に電荷があるのか?など、いろいろ疑問はつきません。

ただし573℃(石英のキュリー温度)以下でないと圧電効果は無効
ホースの摩擦実験では、摩擦した部分も、中間も、離れた場所も同じ符号の電位でした。ガラス窓でも試しましたが、逆の符号は現れませんでした。静電誘導や誘電分極は起きていないようです。では電荷はどうやって伝わるのか?そもそも電荷とは・・・・
おっと、何か分かってしまったようですよ!
| 静電界の測定 2012.6.02 |
試行錯誤の末、ようやく静電界測定器がそこそこ完成しました。
一週間、小黒川断層ほぼ直上の自室の窓辺で測定した結果です。
(1分ごとに瞬時値を記録,分解能は0.25kVと粗い)

結果として
・−0.50〜+0.75kVの範囲で変動した。
これはちょっと怪しい。別のセンサに交換すると変動は小さくなりました。
・雷雲が近づいても電界に目立った変化はない。
定説はウソらしい。
・ほぼ同時刻に上下に振れる現象が見られる。
これは断層直上の特徴と思われる。(これもちょっと怪しい。)
・夜間に変動が大きい。
まだまだ改良します。

こちらは「そらまめ君」のオゾンの測定値です。
こちらは夜間に低下し、日中は増加する傾向が見られます。
| 自動活断層監視システム運用開始 2012.6.30 |
まだまだ不完全ですが、暫定運用を開始しました。
静電気センサ(サンハヤト)の信号を増幅、マイコン(PIC16F88)でAD変換、xBeeWi-Fiでルータを経由してノートPCに定期転送。太陽パネルとエネループを組み合わせてスタンドアローン運転です。
そしてノートPCは15分毎に無線LAN経由でホームページのサーバにデータ(CSV)をFTP送信しています。

ちなみに、赤鉛筆はカーテン避けです。
ファイルはここにありますが、どうやったら一覧を見られるのでしょうね。
../data/
ファイル名は 「201206data.csv」 だから、
../data/201206data.csv
とすれば開けるのですが。
オペアンプ、PICマイコン、EXCEL−VBA、ネットワークと、いろいろ勉強できました。
| 小黒川断層 警戒システム運用開始 2012.7.6 |
データを眺めてもわけが分からないので、グラフで見られるようにしました。
「amCharts」という便利なフリーソフトを利用しています。当月と前月の表示が可能です。
拡大やカーソルに連動した値の表示も出来ます。

こうして見ると、平均値(オレンジ色)は結構変動しています。0〜−0.2kV辺りなので平穏ですが。これが跳ね上がったら要注意です。
現在の様子はこちら。
とうとう、当初の目的、「地震予知」が可能となりました。(たぶん、そのはず、です。)
できれば、日本中にこのシステムを広めたいものです。行政やアカデミック系の皆さん、いかがですか?
【追記】データが重過ぎるので5分毎から10分毎に変更しました。(2012/7/28)
なぜ規則的に早朝と昼ごろに谷と山があるのか?試しにソーラーパネルを
外してみましたが変化はありませんでした。(2012/8/19-20)
気温の変化も関係ありません。あと考えられるのは電離層の影響でしょうか? やっぱり気温変化のせいのようです。
| オカルト?な電離層の研究 2012.9.2 |
サイエンスZEROでも紹介されて東日本大震災前の電離層の異常が話題となっています。地震前、プレート境界で電離層の電子数が増加し、赤外線(つまり放熱)も観測されたそうです。またFMラジオがその異常な電離層に反射して遠くまで到達する現象もあったそうです。
(そういえば中学の時の自由研究で「FMラジオによる流星観測」をしたことがあったっけ。流星が生成したプラズマにFMラジオが反射して遠くの局が聞こえるという研究でした。たしかに数秒聞こえるのです!)
なぜ、地面の下の現象が電離層に影響するのでしょうか?
電磁波の電離作用だとすると、最も透過力の強いX線(ガンマ線)でも50cmのコンクリートで遮蔽できます。海の上なら厚い海水で必ず遮蔽されるでしょう。断層から電磁波が放出されるという説はどうも怪しいです。
微細な割れ目からのラドン(Rn)の放出という説もあります。でもラドンは結構重いです。密度は空気の7.5倍もあります。最大半減期3.8日の短期間に海を突き抜け、高層の電離層まで到達できるでしょうか?
どうもオカルトですな。「プラズマは電離層にしかない」という固定概念が邪魔しているように感じます。
地上から見た電子数は、GPS衛星が出す周波数が異なる二つの電波を比較して求められます。

同時に受信した二つの時刻のデータからズレがわかり、上の方程式から電子数が導かれます。でも電波経路上の全電子数が分かるだけで、電離層のみの電子数とは限りません。
(衛星からは反射した電波を観測しているようですが、同様に電離層の反射のみ検出できるわけではないでしよう。)
「岩石の圧電効果で発生した静電エネルギーによるコロナ放電」が地上や海上で発生すれば、電子数の増加が観測できると言えますね。またプラズマの摩擦熱・ジュール熱が観測されるのも当然です。(静電エネルギーが海水中を上昇するのか?という疑問はまた考えます。うーん)
FMラジオも電離層で反射されるとは限りません。コロナ放電のプラズマが電波塔並みの高さなら、屈折・回折されて遠くまで届くでしょう。
こちらの説のほうが自然ではないでしょうか?
| FMラジオのプラズマ回折モデル 2012.9.4 |
FMラジオの様に周波数の高い電波は普通の電離層では反射しません。しかし山やビルなどでは反射や回折が起きます。そしてプラズマでも電子密度に依存した反射・屈折・回折が起きます。
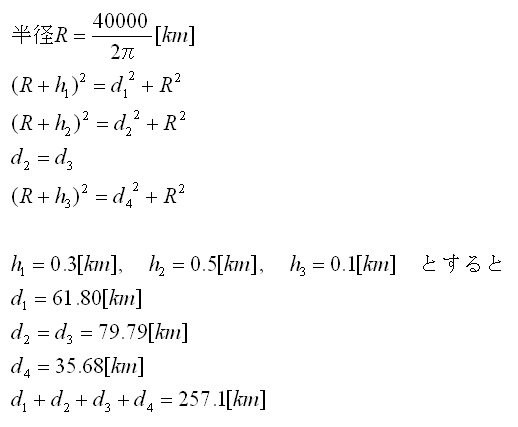
断層の上に現れたプラズマの突端では電波が回折して、遠くまで到達するはずです。地球を一周4万キロの球体とした時、その全経路長は次のようになります。


およそ東京タワーから名古屋テレビ塔まで到達することが分かります。
またd3の領域で観察すると、仰角が高くなり、まるで電離層で反射した様に見えるかもしれませんね。
| 合成速度が地殻を伸縮する? 2012.9.29 |
地球の公転軌道は楕円ですが、円に近いのでほぼ一定の速度で太陽の周りを回転しています。その速さは秒速約30km。けっこう早いですね。
一方地球は自転もしており、日本付近の北緯35.5°では秒速約380mで回転しています。
それぞれの運動は一定ですが、速度を合成すると見かけの公転は一日の間に早くなったり遅くなったりしていることが分かります。つまり太陽から見たら、地球上の一点は速度が変化しているように見え.るのです。

昼は合成速度が遅くなり、夜は早くなります。またその向きも変化することがわかります。さらに地軸が傾いているので、季節によって向きは変化しそうです。
速度が変化するということは「力」が発生します。ようやく電位の日変化の原因がすこし分かったようです。Eureka!

すっかり数学を忘れてしまったので、加速度の概念がちょっと怪しいですが、朝6時に最大のブレーキがかかり、夕方6時にアクセル全開になるようです。2.5%の速度変化は無視できませんよね。早朝に電位の谷が現れる原因は説明できそうです。昼ごろ山が現れるのはなぜでしょね?また考えます。
【追記】月と太陽の潮汐力も影響するでしょうが、半径6300kmの内のほんの数メートルが変動するだけです。温度変化による回路抵抗の変動の方がよっぽど影響ありますね。
【追記】
自転と公転の関係はともかく、電位の変化はやはり温度変化のせいでした。
温度ロガーで測ったところ、明らかな相関が見られました。(100%ではないけどね!)

断層探検は3へつづく